1259928-08-9(pJAK2(1001–1013))
1259928-08-9 Basic informationMore
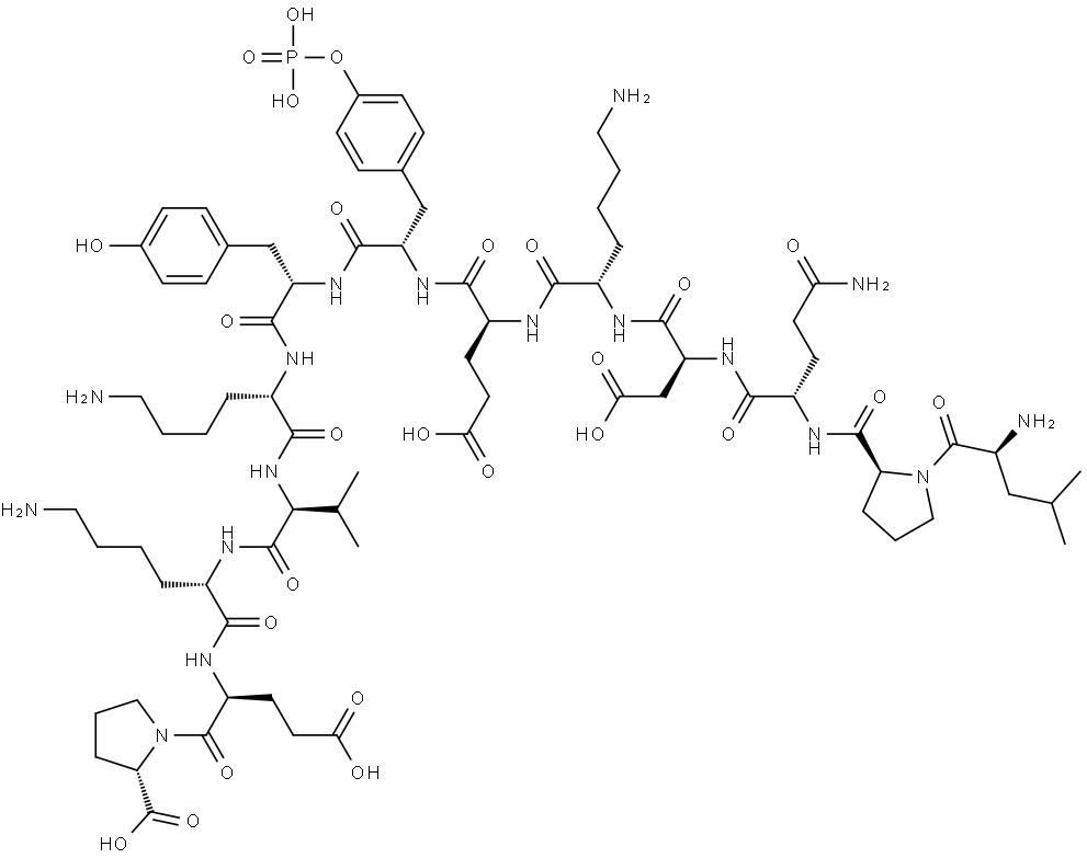
- Product Name:pJAK2(1001–1013)
- Synonyms: pJAK2(1001–1013) Leu-Pro-Gln-Asp-Lys-Glu-{pTyr}-Tyr-Lys-Val-Lys-Glu-Pro L-Proline, L-leucyl-L-prolyl-L-glutaminyl-L-α-aspartyl-L-lysyl-L-α-glutamyl-O-phosphono-L-tyrosyl-L-tyrosyl-L-lysyl-L-valyl-L-lysyl-L-α-glutamyl-
- CAS:1259928-08-9
- MF:C76H118N17O26P
- MW:1716.83
- EINECS:
- Mol File:1259928-08-9.mol
-
Browse by Nationality 1259928-08-9 Suppliers >China suppliers
Recommend You Select Member Companies