65800-06-8(Ferrocene, hexadecyl-)
65800-06-8 Basic informationMore
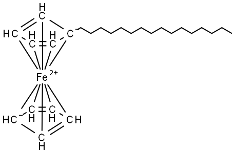
- Product Name:Ferrocene, hexadecyl-
- Synonyms: Ferrocene, hexadecyl- Hexadecyl ferrocene
- CAS:65800-06-8
- MF:C26H42Fe
- MW:410.46
- EINECS:
- Mol File:65800-06-8.mol
-
Browse by Nationality 65800-06-8 Suppliers >China suppliers
Recommend You Select Member Companies