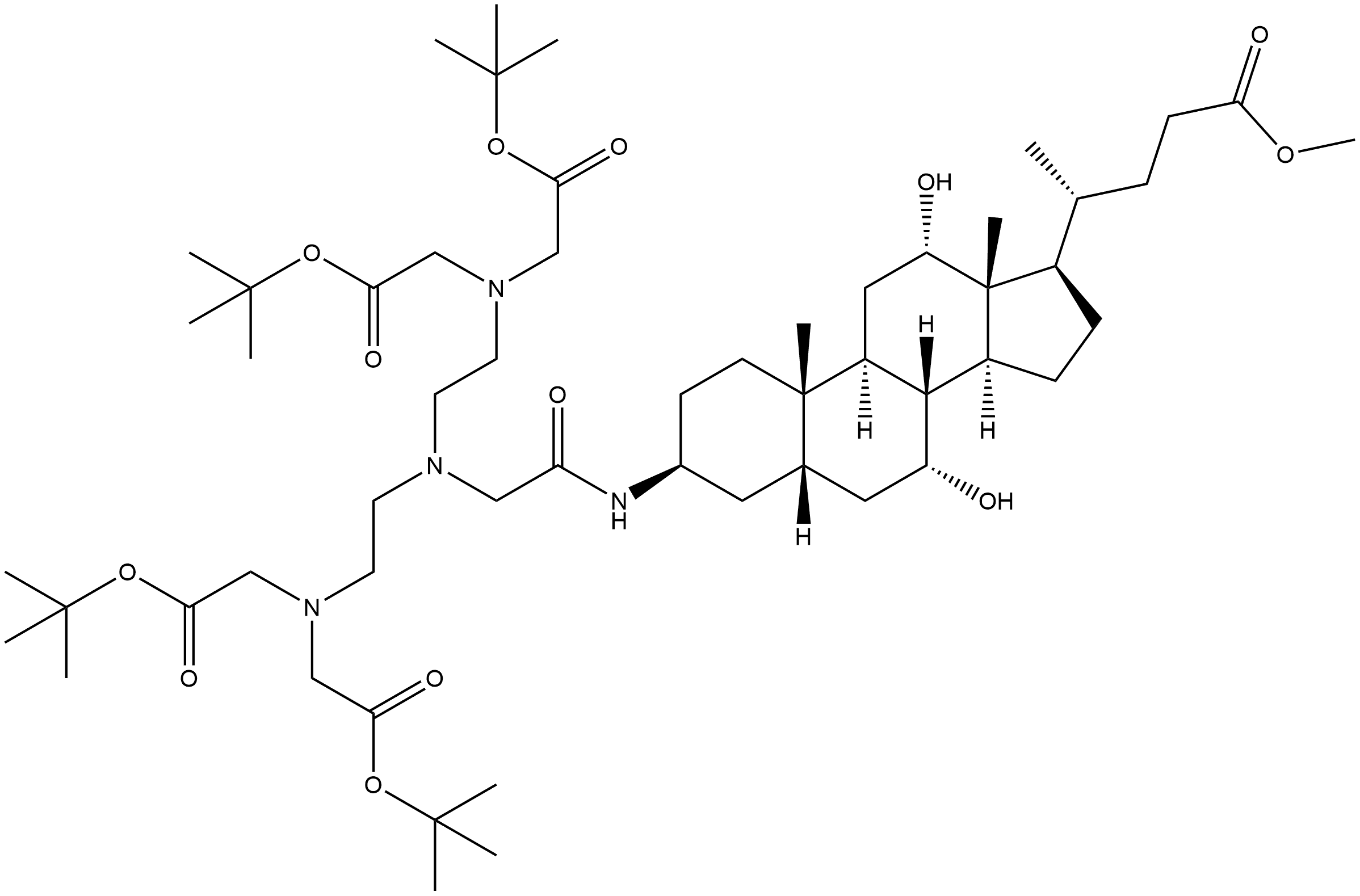
Cholan-24-oic acid, 3-[[[bis[2-[bis[2-(1,1-dimethylethoxy)-2-oxoethyl]amino]ethyl]amino]acetyl]amino]-7,12-dihydroxy-, methyl ester, (3β,5β,7α,12α)- (9CI)
280765-80-2 Basic informationMore
- Product Name:Cholan-24-oic acid, 3-[[[bis[2-[bis[2-(1,1-dimethylethoxy)-2-oxoethyl]amino]ethyl]amino]acetyl]amino]-7,12-dihydroxy-, methyl ester, (3β,5β,7α,12α)- (9CI)
- Synonyms: Cholan-24-oic acid, 3-[[[bis[2-[bis[2-(1,1-dimethylethoxy)-2-oxoethyl]amino]ethyl]amino]acetyl]amino]-7,12-dihydroxy-, methyl ester, (3β,5β,7α,12α)- (9CI)
- CAS:280765-80-2
- MF:C55H96N4O13
- MW:1021.37
- EINECS:
- Mol File:280765-80-2.mol
-
Browse by Nationality 280765-80-2 Suppliers >Global suppliers
Please select the suppliers
Recommend You Select Member Companies
Recommend You Select Member Companies