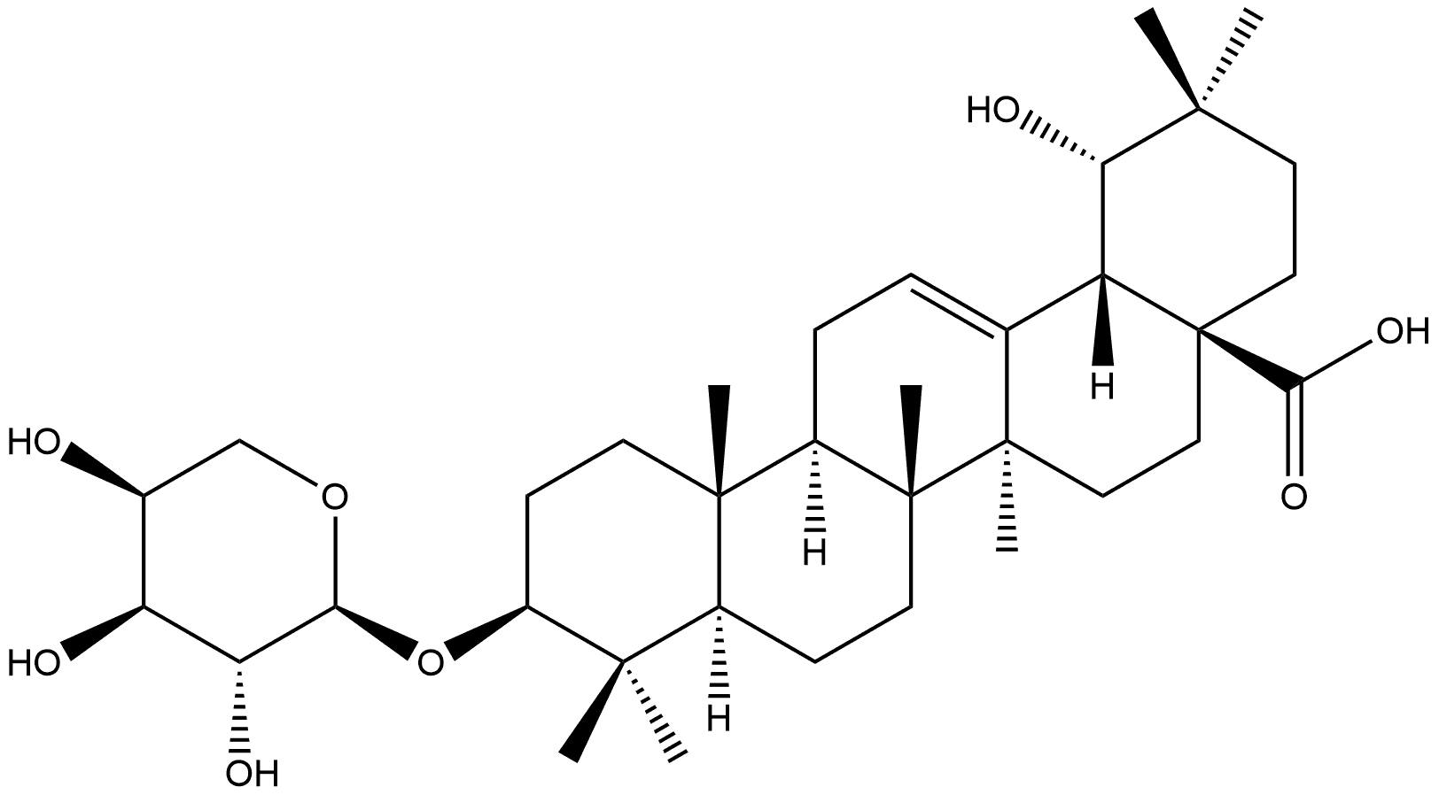
Olean-12-en-28-oic acid, 3-(α-L-arabinopyranosyloxy)-19-hydroxy-, (3β,19α)-
866216-15-1 Basic informationMore
- Product Name:Olean-12-en-28-oic acid, 3-(α-L-arabinopyranosyloxy)-19-hydroxy-, (3β,19α)-
- Synonyms: Olean-12-en-28-oic acid, 3-(α-L-arabinopyranosyloxy)-19-hydroxy-, (3β,19α)- 3-O-Arabinopyranosyl siaresinolic acid
- CAS:866216-15-1
- MF:C35H56O8
- MW:604.81
- EINECS:
- Mol File:866216-15-1.mol
-
Please select the suppliers
Recommend You Select Member Companies
Recommend You Select Member Companies
- Company Name:Chengdu DeSiTe Biological Technology Co., Ltd
- Tel:
- Products Intro:Product Name:3-O-Arabinopyranosyl siaresinolic acid
CAS:866216-15-1
Purity:HPLC>=98% Package:5mg/支 - CB Index:58
- Related Information:Catalog(6219)