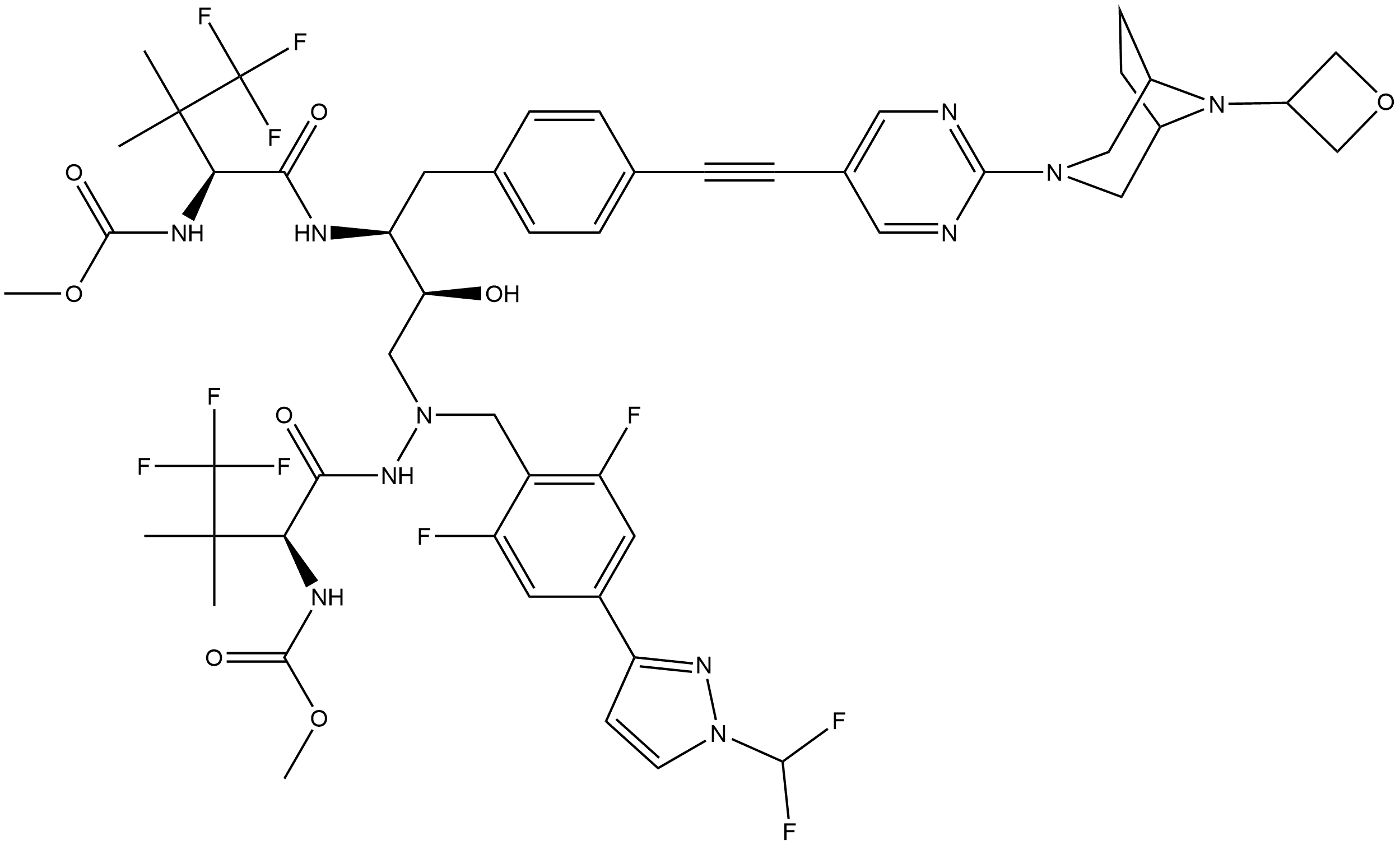
2242428-57-3(GS-1156;GS-PI1)
2242428-57-3 基本信息更多
- 中文名称:GS-1156;GS-PI1
- 中文同义词: GS-1156;GS-PI1 化合物 Elunonavir
- 英文名称:2,5,6,10,13-Pentaazatetradecanedioic acid, 6-[[4-[1-(difluoromethyl)-1H-pyrazol-3-yl]-2,6-difluorophenyl]methyl]-8-hydroxy-9-[[4-[2-[2-[8-(3-oxetanyl)-3,8-diazabicyclo[3.2.1]oct-3-yl]-5-pyrimidinyl]ethynyl]phenyl]methyl]-4,11-dioxo-3,12-bis(2,2,2-trifluoro-1,1-dimethylethyl)-, 1,14-dimethyl ester, (3S,8S,9S,12S)-
- 英文同义词: 2,5,6,10,13-Pentaazatetradecanedioic acid, 6-[[4-[1-(difluoromethyl)-1H-pyrazol-3-yl]-2,6-difluorophenyl]methyl]-8-hydroxy-9-[[4-[2-[2-[8-(3-oxetanyl)-3,8-diazabicyclo[3.2.1]oct-3-yl]-5-pyrimidinyl]ethynyl]phenyl]methyl]-4,11-dioxo-3,12-bis(2,2,2-trifluoro-1,1-dimethylethyl)-, 1,14-dimethyl ester, (3S,8S,9S,12S)- 2,5,6,10,13-Pentaazatetradecanedioic acid, 6-[[4-[1-(difluoromethyl)-1H-pyrazol-3-yl]-2,6-difluorophenyl]methyl]-8-hydroxy-9-[[4-[2-[2-[8-(3-oxetanyl)-3,8-diazabicyclo[3.2.1]oct-3-yl]-5-pyrimidinyl]ethynyl]phenyl]methyl]-4,11-dioxo-3,12-bis(2,2,2-trifluoro-1,1-dimethylethyl)-, 1,14-dimethyl ester, (... Elunonavir GS-1156(Elunonavir) GS-PI1 GS-1156
- CAS号:2242428-57-3
- 分子式:C52H59F10N11O8
- 分子量:1156.08
- EINECS号:
- Mol文件:2242428-57-3.mol
-