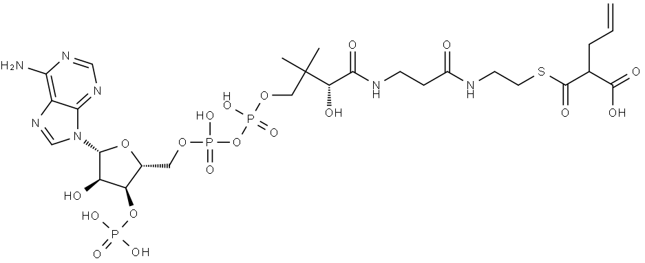
Allylmalonyl-CoA
881850-07-3 Basic informationMore
- Product Name:Allylmalonyl-CoA
- Synonyms: Allylmalonyl-CoA Coenzyme A, S-[hydrogen 2-(2-propen-1-yl)propanedioate]
- CAS:881850-07-3
- MF:C27H42N7O19P3S
- MW:893.65
- EINECS:
- Mol File:881850-07-3.mol
-
Please select the suppliers
Recommend You Select Member Companies
Recommend You Select Member Companies
- Company Name:Shanghai Kaisen Biotechnology Co., Ltd
- Tel:
- Products Intro:Product Name:Allylmalonyl-CoA
CAS:881850-07-3
Purity:95%+ Package:2mg - CB Index:58
- Related Information:Catalog(2312)