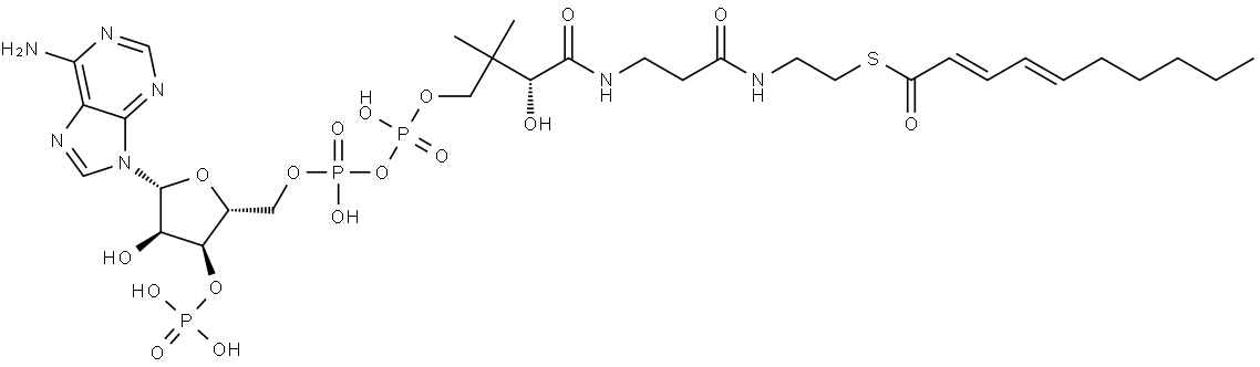
2-trans-4-trans-Decadienoyl-CoA
83945-34-0 Basic informationMore
- Product Name:2-trans-4-trans-Decadienoyl-CoA
- Synonyms: 2-trans-4-trans-Decadienoyl-CoA Coenzyme A, S-(2E,4E)-2,4-decadienoate
- CAS:83945-34-0
- MF:C31H50N7O17P3S
- MW:917.75
- EINECS:
- Mol File:83945-34-0.mol
-
Please select the suppliers
Recommend You Select Member Companies
Recommend You Select Member Companies
- Company Name:Shanghai Kaisen Biotechnology Co., Ltd
- Tel:
- Products Intro:Product Name:2-trans-4-trans-Decadienoyl-CoA
CAS:83945-34-0
Purity:95%+ Package:2mg - CB Index:58
- Related Information:Catalog(2312)