网站主页 > BOC-L-异亮氨酸 > 新闻信息汇总
BOC-L-异亮氨酸新闻专题
推荐新闻
三氯蔗糖——人工合成甜味剂
2025/11/28
L-O-磷酸丝氨酸的应用
2025/11/28
菝葜皂苷元是哪种中药成分
2025/11/28
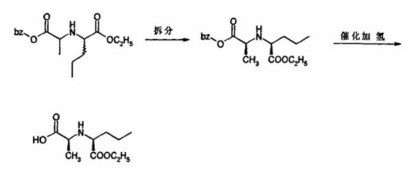
N-[(S)-乙氧羰基-1-丁基]-(S)-丙氨酸的性质、用途及制法
2025/11/28
选择性变构驱动蛋白Eg5抑制剂S-三苯甲基-L-半胱氨酸
2025/11/28
有关酸枣仁皂苷B的最新研究
2025/11/28
最新发布
丙酸钠在食品中的用量及安全性
15:49
聚醚胺的生产工艺与应用
15:36
三氯蔗糖——人工合成甜味剂
15:13
乙酸钙的多领域应用
14:14
小鼠组胺(HIS)ELISA试剂盒的实验原理
10:16
IL17B抗体的用法与纯化保存方法
10:16