基本信息 物理化学性质 常见问题列表 供应商 相关产品
网站主页Cas数据库列表286380-05-0

286380-05-0

中文名称 促凋亡肽D-(KLAKLAK)2
英文名称 d-KLA Peptide
CAS 286380-05-0
分子式 C72H138N20O15
分子量 1523.99
MOL 文件 286380-05-0.mol
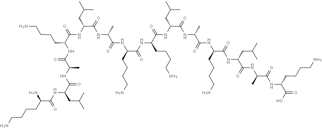
结构式 286380-05-0 结构式

基本信息

中文别名 促凋亡肽D-(KLAKLAK)2
英文别名 d-KLA Peptide
所属类别 生物化工:多肽

物理化学性质

沸点 1688.637±65.00 °C(Press: 760.00 Torr)(predicted)
密度 1.153±0.06 g/cm3(Temp: 25 °C; Press: 760 Torr)(predicted)
酸度系数(pKa) 3.310±0.10(predicted)
形态 Solid
颜色 White to off-white
序列 d-{Lys-Leu-Ala-Lys-Leu-Ala-Lys-Lys-Leu-Ala-Lys-Leu-Ala-Lys}

常见问题列表

概述
促凋亡肽D-(KLAKLAK)2 是一种合成的促凋亡肽。d-KLA Peptide 能够特异性地靶向线粒体,通过破坏线粒体膜来诱导细胞凋亡。d-KLA Peptide能够激活与凋亡相关的生化途径,包括激活 caspase 家族蛋白和 PARP (聚 ADP 核糖聚合酶)。d-KLA Peptide 可以用于携带和传递基因或小分子,以增强抗肿瘤效果。

供应商信息 更多

南昌探真生物技术有限公司
联系电话: 13173652190
产品介绍:
英文名称:d-KLA Peptide
CAS:286380-05-0
纯度:98% HPLC
包装信息:10mg;100mg;1000mg
备注:试剂级
上海鸿肽生物科技有限公司
联系电话: 15318089928
产品介绍:
中文名称:促凋亡肽D-(KLAKLAK)2
英文名称:d-KLA Peptide
CAS:286380-05-0
纯度:98%HPLC
包装信息:1mg;10mg;100mg
备注:研发级
江西研肽生物医药科技有限公司
联系电话: 13758194781 15083780366
产品介绍:
英文名称:d-KLA Peptide
CAS:286380-05-0
纯度:98% HPLC
包装信息:5mg; 100mg; 1g
备注:供应各种科研/药物级多肽(含定制修饰肽)、小分子探针前体及药物中间体。所有产品均提供HPLC及MS质控报告,并可依客户需求进行精准合成与毫克至千克级规格定制。
江西辐氨生物技术有限公司
联系电话: 18178976185
产品介绍:
英文名称:d-KLA Peptide
CAS:286380-05-0
纯度:98% HPLC
包装信息:10mg;100mg;1000mg
备注:试剂级,所有产品仅用于科学研究和药证申报,不为任何个人提供产品和服务