2415661-92-4
英文名称
INDEX NAME NOT YET ASSIGNED
CAS
2415661-92-4
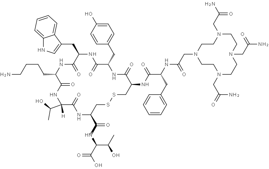
分子式
C65H93N17O16S2
分子量
1432.67
MOL 文件
2415661-92-4.mol
结构式

基本信息
英文别名
物理化学性质
沸点 | 1765.5±65.0 °C(Predicted) |
密度 | 1.45±0.1 g/cm3(Predicted) |
酸度系数(pKa) | 3.18±0.10(Predicted) |
供应商信息 更多
杭州肽佳生物科技有限公司
联系电话:
0571-87213919
产品介绍:
中文名称:606818
英文名称:DOTAMTATE
CAS:2415661-92-4
纯度:95% or 98% HPLC
包装信息:1mg;5mg;10mg;50mg;100mg,1g or according to customer's detail requirement.
备注:供应各种美容肽、科研用肽、多肽API、研发用药物肽杂质
杭州思诺达医药科技有限责任公司
联系电话:
0571-87213919 17306812703
产品介绍:
中文名称:606818
英文名称:DOTAMTATE
CAS:2415661-92-4
纯度:95% or 98% HPLC
包装信息:1mg;5mg;10mg;50mg;100mg,1g or according to customer's detail requirement.
备注:提供氨基酸分析方法开发,氨基酸质量研究用杂质;多肽仿制药工艺开发注册申报、多肽新药开发服务。供应各种美容肽、科研用肽、多肽API、研发用药物肽杂质、氨基酸杂质