
1613241-14-7
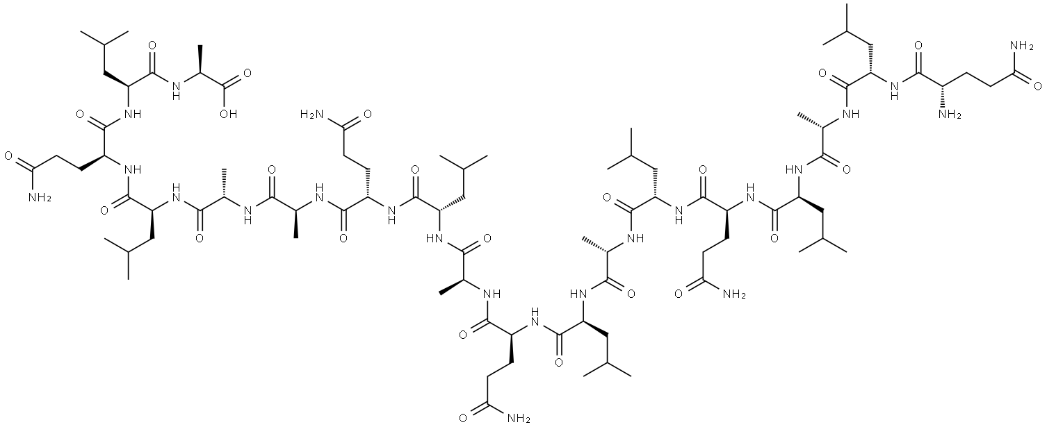
Name | L-Alanine, L-glutaminyl-L-leucyl-L-alanyl-L-leucyl-L-glutaminyl-L-leucyl-L-alanyl-L-leucyl-L-glutaminyl-L-alanyl-L-leucyl-L-glutaminyl-L-alanyl-L-alanyl-L-leucyl-L-glutaminyl-L-leucyl- |
CAS | 1613241-14-7 |
Molecular Formula | C85H149N23O24 |
Molecular Weight | 1877.24 |
MOL File | 1613241-14-7.mol |