2809363-81-1(HCoV-OC43-IN-1)
2809363-81-1 Basic informationMore
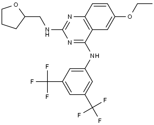
- Product Name:HCoV-OC43-IN-1
- Synonyms: HCoV-OC43-IN-1 2,4-Quinazolinediamine, N4-[3,5-bis(trifluoromethyl)phenyl]-6-ethoxy-N2-[(tetrahydro-2-furanyl)methyl]-
- CAS:2809363-81-1
- MF:C23H22F6N4O2
- MW:500.44
- EINECS:
- Mol File:2809363-81-1.mol
-
Browse by Nationality 2809363-81-1 Suppliers >China suppliers
Recommend You Select Member Companies