2-(3-苯甲酰基苯基)-丙腈的一种合成方法
发布日期:2025/11/24 9:47:23
2-(3-苯甲酰基苯基)-丙腈的外观是白色或类白色结晶性粉末,是合成非甾体消炎镇痛药酮基布洛芬(Ketoprofen)的重要中间体,其合成可参考酮基布洛芬的合成的有关报道。综合考虑合成反应条件和产品质量等方面的要求,本文将介绍以易得的间甲基苯甲酸甲酯(由间甲基苯甲酸经甲酯化制得)为原料合成2-(3-苯甲酰基苯基)-丙腈的方法。

合成方法[1]
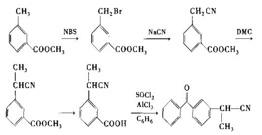
1、间溴甲基苯甲酸甲酯的合成
在500mL的三口烧瓶中加入200mL的二氯乙烷,再加入76g(0.500mol)间甲基苯甲酸甲酯和86g(0.525mol)N-溴代丁二酰亚胺(NBS),搅拌加热至回流,保温反应6h。反应结束后冷却,过滤。滤渣用于NBS的再生。滤液经蒸除溶剂后得间溴甲基苯甲酸甲酯粗品105.4g,含量96.1%,折纯收率88.5%。
2、间氰甲基苯甲酸甲酯的合成
在500mL的三口烧瓶中加入52g上述制备的间溴甲基苯甲酸甲酯粗品和300mL甲醇,搅拌加热至回流,在2h内滴加38g氰化钠水溶液(11g氰化钠溶于27mL水),然后保温反应6h。反应完毕后,蒸出溶剂甲醇,加入200mL甲苯进行萃取。有机层经水洗、于燥、脱除甲苯后得到40.3g间氰甲基苯甲酸甲酯粗品,含量90.0%,折纯收率94.9%。
3、3-(α-氰乙基)苯甲酸甲酯的合成
在500mL的高压釜中加入300mL碳酸二甲酯(DMC),0.5g十六烷基三甲基溴化铵(CTBA),60g碳酸钾和40.3g上述制备的间氰甲基苯甲酸甲酯粗品,密封好高压釜,搅拌加热升温,使釜内压力保持在2MPa左右,保压反应3h。反应结束后,降温、除压,取出反应液,过滤,滤液套用,滤渣为3-(α-氰乙基)苯甲酸甲酯粗品,产量35.3g,含量98.0%,折纯收率88.3%。
4、3-(α-氰乙基)苯甲酸的合成
在500mL的三口烧瓶中加入60g上述制备的3-(α-氰乙基)苯甲酸甲酯粗品和200mL甲苯,用液碱调节溶液p值在10左右,搅拌加热至回流,在保持溶液pH值为10的条件下反应6h。降温冷却,分出水层,用稀盐酸调节溶液pH值在3~4,过滤析出的结晶,得到3-(α-氰乙基)苯甲酸粗品53.2g,含量98.2%,折纯收率96.0%。
5、2-(3-苯甲酰基苯基)-丙腈的合成
在500mL的三口烧瓶中加入51g上述制备的3-(α-氰乙基)苯甲酸粗品和200mL苯,搅拌溶解,滴加52g氯化亚砜,尾气引出用水吸收制备稀盐酸,滴加完毕后,缓慢升温至回流,得到3-(α-氰乙基)苯甲酰氯的苯溶液。将上述溶液冷却至室温,加入54g三氯化铝,在室温下搅拌6h,生成的氯化氢用水吸收。反应完毕后,向反应液中加入稀盐酸,在50℃搅拌1h。冷却,静置分层,分去水层,有机层经常压蒸馏脱苯后,减压蒸馏,收集0.095MPa下274~276℃的馏分,得到54.3g白色的2-(3-苯甲酰基苯基)-丙腈,含量为98.6%,收率79.6%。

参考文献
[1]付中林,伍杰. 2-(3-苯甲酰基苯基)丙腈的合成[J]. 精细与专用化学品,2005,13(23):25-27. DOI:10.3969/j.issn.1008-1100.2005.23.006.
欢迎您浏览更多关于2-(3-苯甲酰基苯基)-丙腈的相关新闻资讯信息