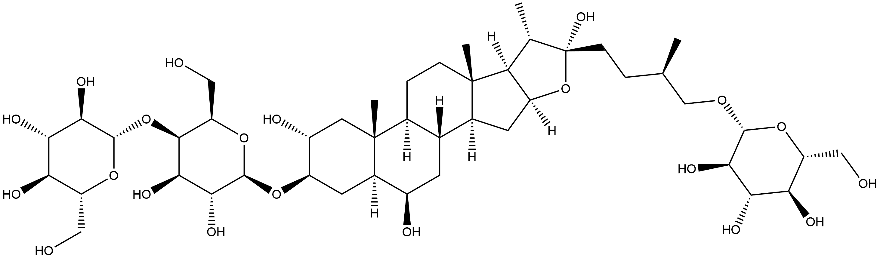
β-D-Galactopyranoside, (2α,3β,5α,6β,22α,25R)-26-(β-D-glucopyranosyloxy)-2,6,22-trihydroxyfurostan-3-yl 4-O-β-D-glucopyranosyl- (9CI)
Bezeichnung:β-D-Galactopyranoside, (2α,3β,5α,6β,22α,25R)-26-(β-D-glucopyranosyloxy)-2,6,22-trihydroxyfurostan-3-yl 4-O-β-D-glucopyranosyl- (9CI)
CAS-Nr118543-10-5
Englisch Name:β-D-Galactopyranoside, (2α,3β,5α,6β,22α,25R)-26-(β-D-glucopyranosyloxy)-2,6,22-trihydroxyfurostan-3-yl 4-O-β-D-glucopyranosyl- (9CI)
CBNumberCB98929412
SummenformelC45H76O21
Molgewicht953.07
MOL-Datei118543-10-5.mol
β-D-Galactopyranoside, (2α,3β,5α,6β,22α,25R)-26-(β-D-glucopyranosyloxy)-2,6,22-trihydroxyfurostan-3-yl 4-O-β-D-glucopyranosyl- (9CI) physikalisch-chemischer Eigenschaften
| Siedepunkt | 1088.9±65.0 °C(Predicted) |
| Dichte | 1.51±0.1 g/cm3(Predicted) |
| pka | 12.79±0.70(Predicted) |
