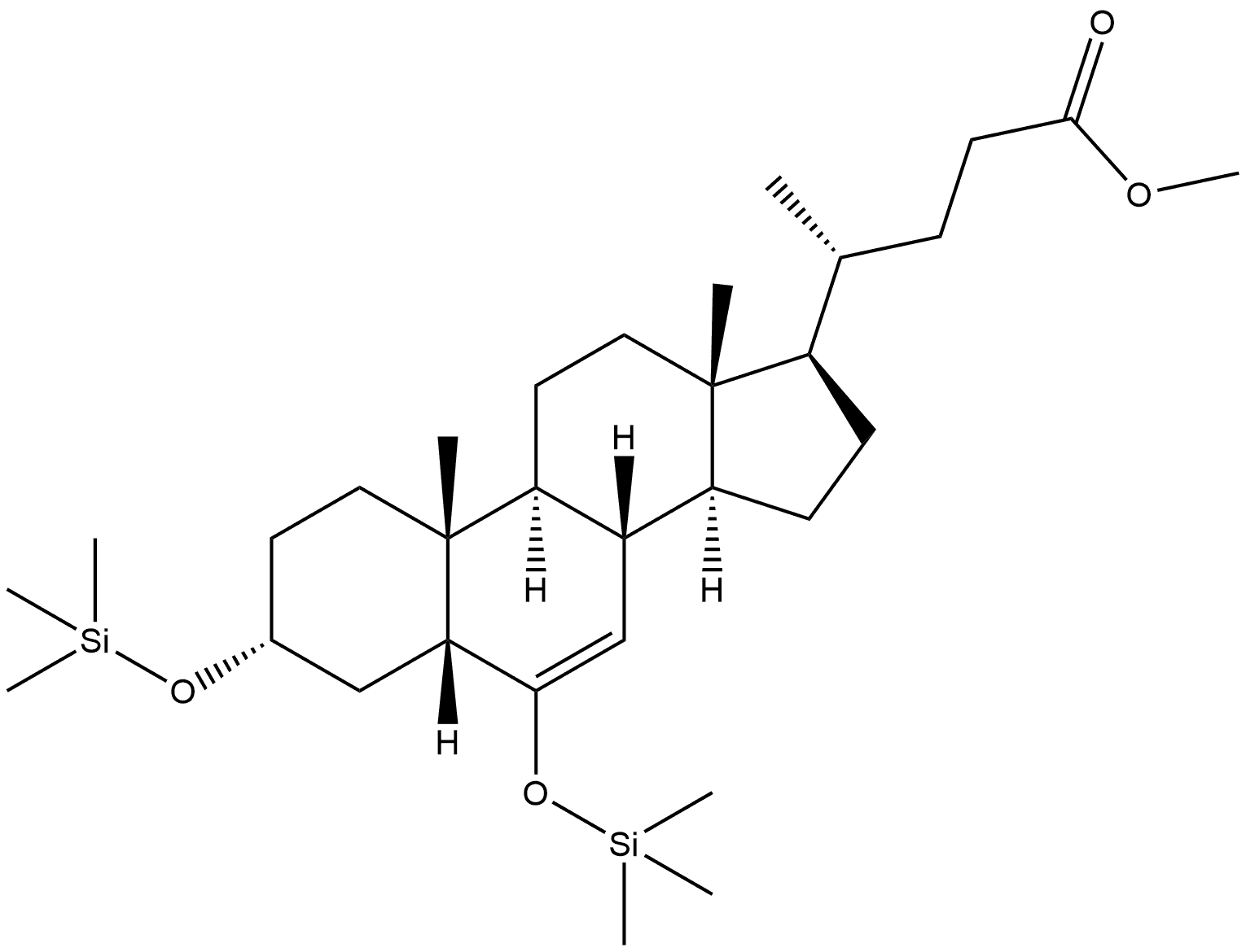
猪去氧胆酸杂质
- CAS号:128291-94-1
- 英文名:Chol-6-en-24-oic acid, 3,6-bis[(trimethylsilyl)oxy]-, methyl ester, (3α,5β)-
- 中文名:猪去氧胆酸杂质
- CBNumber:CB812940075
- 分子式:C31H56O4Si2
- 分子量:548.94
- MOL File:128291-94-1.mol
猪去氧胆酸杂质化学性质
- 沸点 :523.4±35.0 °C(Predicted)
- 密度 :1.00±0.1 g/cm3(Predicted)
猪去氧胆酸杂质上下游产品信息
上游原料
下游产品
猪去氧胆酸杂质生产厂家
- 公司名称:廊坊市恒福源医药科技有限公司
- 联系电话:0316-2883536 19333636468
- 电子邮件:1877241811@qq.com
- 国家:中国
- 产品数:2114
- 优势度:58