81246-82-4
基本信息
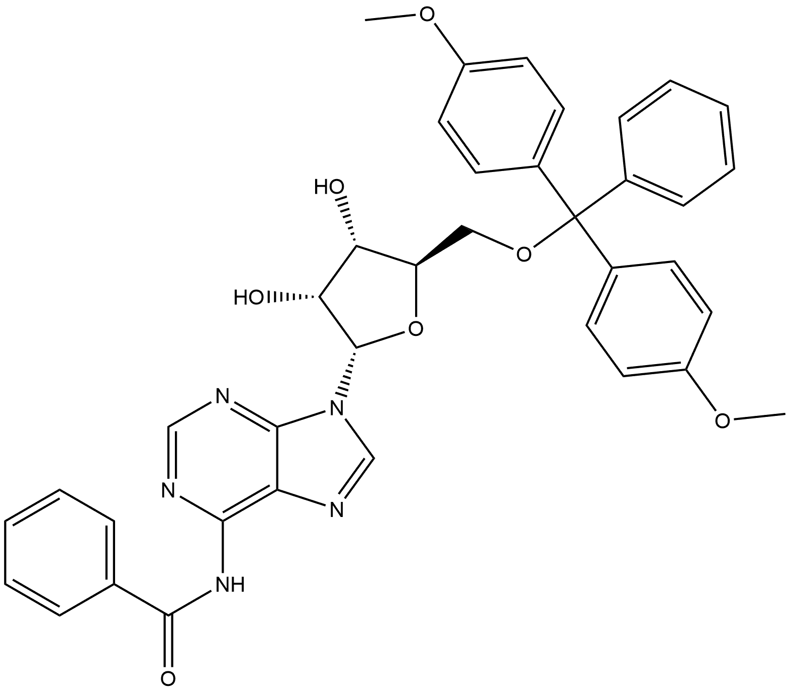
N6-苯甲酰基-5'-DMT-腺苷
5'-O-(4,4'-二甲氧基三苯甲基)-N6-苯甲酰基腺苷
N6-苯甲酰基-5'-O-(4,4'-二甲氧基三苯甲基)-腺苷
5'-DMT-Bz-rA
5'-O-DMT-Bz-rA
5'-O-DMT-N6-Bz Adenosine
-DMT-RIBO ADENOSINE (N-BZ)
5'-DMT-RIBO ADENOSINE (N-BZ)
5'-O-DMTr-N6-benzoyladenosine
N6-Benzoyl-5'-O-DMT-adenosine
5'-DMT-RIBO ADENOSINE (N-BZ) USP/EP/BP
5'-O-dimethoxytrityl-N6-benzoyl adenosine
物理化学性质
| 密度 | 1.36 |
| 储存条件 | Sealed in dry,2-8°C |
| 酸度系数(pKa) | 7.87±0.43(Predicted) |
| 形态 | Solid |
| 颜色 | White to off-white |
安全数据
| 危险性符号(GHS) | ![]() GHS07 |
| 警示词 | 警告 |
| 危险性描述 | H315-H319-H335 |
| 防范说明 | P261-P305+P351+P338 |
| 海关编码 | 2933599590 |
制备方法
40615-36-9
4546-55-8
129666-75-7
以4,4'-双甲氧基三苯甲基氯(DMTrCl)和N6-苯甲酰基腺苷为原料合成目标化合物(CAS:129666-75-7)的一般步骤如下:在0℃下,向含有N-(9-((2R,3R,4R,5R)-3,4-二羟基-5-(羟甲基)四氢呋喃-2-基)-9H-嘌呤-6-基)-苯甲酰胺(100g,269.3mmol)的吡啶溶液(500mL)中,依次加入DMAP(1.64g,13.46mmol,0.05当量)和DMTrCl(100.4g,296.2mmol,1.1当量)。将反应混合物在室温下搅拌16小时,反应完成后,通过加入甲醇(500mL)淬灭反应。减压蒸馏去除挥发性物质,残余物通过硅胶柱色谱法纯化(洗脱梯度:1/1石油醚/乙酸乙酯至100%乙酸乙酯),得到N-(9-((2R,3R,4S,5R)-5-((双(4-甲氧基苯基)(苯基)甲氧基)甲基)-3,4-二羟基四氢呋喃-2-基)-9H-嘌呤-6-基)苯甲酰胺,为白色泡沫状固体(150g,223mmol,收率83%)。
参考文献:
[1] Tetrahedron Asymmetry, 2005, vol. 16, # 17, p. 2908 - 2917
[2] Patent: WO2018/156625, 2018, A1. Location in patent: Paragraph 0295
[3] Canadian Journal of Chemistry, 1982, vol. 60, p. 1106 - 1113
[4] Patent: WO2017/161349, 2017, A1. Location in patent: Paragraph 0289
[5] Nucleosides, Nucleotides and Nucleic Acids, 2008, vol. 27, # 8, p. 1001 - 1008
常见问题列表
5'-O-(4,4'-二甲氧基三苯甲基)-N6-苯甲酰基腺苷价格(试剂级)
| 报价日期 | 产品编号 | 产品名称 | CAS号 | 包装 | 价格 |
| 2025/05/22 | XW028124682404 | 5''-O-(4,4''-二甲氧基三苯甲基)-N6-苯甲酰基腺苷 | 81246-82-4 | 25G | 292元 |
| 2025/05/22 | HY-21545 | 5'-O-(4,4'-二甲氧基三苯甲基)-N6-苯甲酰基腺苷 5'-O-DMT-Bz-rA | 81246-82-4 | 5 g | 100元 |
| 2025/05/22 | XW028124682403 | 5''-O-(4,4''-二甲氧基三苯甲基)-N6-苯甲酰基腺苷 | 81246-82-4 | 10G | 117元 |
